分享:矯頑力在碳鋼熱處理質量預評定中的應用
摘 要:常規的熱處理質量評定方法需對材料進行破壞性加工,效率低下,且不適用于產品批量 檢驗.針對這一缺點,提出基于矯頑力(Hc)的磁滯無損評估方法,研究了不同熱處理條件下,碳鋼 顯微組織及力學性能與矯頑力的關系.結果表明:碳鋼3種典型顯微組織對應不同的矯頑力水平, 其順序為 Hc馬氏體 >Hc珠光體 >Hc鐵素體 ;常用力學性能指標與矯頑力近似成線性關系;通過測定矯頑 力既可以快速辨別碳鋼的顯微組織,又能對力學性能實現定量預測,因此可用于其熱處理質量的預 評定.
關鍵詞:矯頑力;熱處理;顯微組織;力學性能;預評定
中圖分類號:TG115 文獻標志碼:A 文章編號:1001G4012(2020)02G0001G05
常規的熱處理質量評定方法有金相檢驗和力學 性能試驗,需要對材料進行切割、拋光等破壞性加 工,效率低下,且抽樣檢驗的方法不適用于質量要求 嚴格、需逐個檢驗的工件[1].為了更好地節約鋼鐵 材料熱處理質量檢驗的時間和成本,引入無損檢測 技術的需求越來越大.
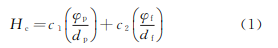
磁性法無損檢測可直接得到磁性能參數(矯頑 力 Hc、剩磁 Br、磁滯損耗和飽和磁化強度 Ms 等, 其中矯頑力是描述材料磁滯特性的典型參數,源于 磁疇壁運動的不可逆性)與材料性能的關系,已廣泛 應用于鋼和鑄鐵工件的檢驗中[2G3].JILES [4]研究 了顯微組織和含碳量對碳鋼磁性能的影響,當碳的 質量分數超過0.2%時,晶粒尺寸對磁性能的影響 不大.BATISTA 等[5]基于矯頑力、巴克豪森噪聲 對鋼和鑄鐵中的滲碳體含量進行了無損評價,結果 表明隨著滲碳體體積分數增加,矯頑力大小與碳含 量有一定關系.BYEON 等[6]認為矯頑力和剩磁可 用于成分辨識、珠光體層間距和共析鋼強度的定量 評價.此外,以矯頑力為測量參數的磁滯無損評價技術可用于分析不同淬火、回火溫度下雙相鋼的馬 氏體體積分數 和 力 學 性 能[7G8].TANNER 等[9]觀 察到矯頑力與晶粒尺寸的倒數成線性關系,其與鐵 素體和珠光體的關系如下
式中:φp和φf分別為珠光體和鐵素體的體積分數; dp 和df 分別為珠光體和鐵素體的晶粒尺寸;c1 和 c2為常數.
一般來說,當材料中某一組分大量存在時(如鐵 素體基體中的珠光體),即有可能主導整體的磁性行 為.YOSHINO 等[10]指出鑄鐵中珠光體的體積分 數小于17%時,不會對矯頑力產生顯著影響;當珠 光體的體積分數大于60%時,矯頑力與珠光體成比 例增加,而與晶粒尺寸無關.雖然通過監測鋼鐵材 料的磁性參數可以對鋼鐵材料的晶粒尺寸、相含量、 熱處理條件和力學性能等進行評價,但多種冶金因 素都有可能影響材料的磁性能和力學性能,因此需 要進行深入研究,以便在實際情況下更好地應用這 些技術.研究各種磁性能參數與力學性能之間的定 量關系,既有助于熱處理質量的精確控制,也有助于 磁性無損檢測技術在鋼鐵性能評估中的應用.
筆者系統地闡述了基于矯頑力的無損評估方法, 并結合兩種常見碳鋼的熱處理試驗和力學性能試驗, 對材料的顯微組織、力學性能與矯頑力參數進行了關 聯,以期獲得較為準確的磁性參數與力學性能的經驗 關系,為材料熱處理質量的預評定提供參考.
1 基于矯頑力的無損評估技術
鐵磁性材料可通過外部施加的時變電磁場進行 磁化,從而發生疇壁位移和磁疇轉動,該過程可利用 磁滯回線表示.磁滯特性取決于材料內部的微觀結 構,磁疇壁在運動過程中必須克服各種微結構障礙, 這是出現磁滯行為的本質原因.基于磁滯行為與微 觀結構、殘余應力、局部缺陷間的相互關系可開發出 磁滯無損評估技術,用于評估材料微觀結構和缺陷 密度變化導致的相應力學性能的變化,從而表征材 料的固有特性.由圖1可知,磁感應強度B 和磁場 強度H 具有非單值性,同時BGH 曲線還具有非線 性及飽和性.
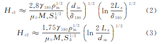
根據經典的直流磁化和循環理論,鐵磁性材料的 矯頑力是由阻止磁疇邊界不可逆位移的平均力決定 的,微結構障礙可能是夾雜物、位錯、殘余應力、晶界 以及其他晶格不均勻性和缺陷.當晶體內部夾雜物的釘扎效應起主要作用時,矯頑力可由下式表示[11]
式中:Hc1為小尺寸夾雜物引起的矯頑力;Hc2為大尺 寸夾雜物引起的矯頑力;din為夾雜物的平均直徑;Lz 為磁疇體的當量長度;ρin為體積密度;δ180為夾雜物的 厚度;Sδ 為夾雜物的面積;γ180為180°磁疇壁單位面 積的表面能;Ms 為飽和磁化強度;μ0為常數.
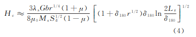
當晶體內部位錯引起的應力起主要作用時,矯 頑力可表示為[12]
式中:r 為位錯密度;G 為彈性模量;μ 為泊松比;b 為 Burgers參量;λs 為飽和磁致伸縮量.
由以上公式可知,矯頑力對微觀結構和化學成 分非常敏感,在很多情況下,其與力學性能也有很好 的相關性,而且不受尺寸和提離效應的影響[13G14]. 鋼鐵材料經過熱處理后,組織結構發生變化,矯頑力 也隨之變化,因此可通過測定熱處理前后鋼鐵件的 矯頑力來表征其微觀結構和性能變化.
2 顯微組織與矯頑力的關系
2.1 試驗方法
試驗材料為某高碳鋼,其主要化學成分(質量分 數)為0.855% C,0.21% Si,0.51% Mn,0.01% P, 0.006% S.通過調節奧氏體化溫度、等溫冷卻或連 續冷 卻 等 熱 處 理 條 件 來 改 變 試 樣 顯 微 組 織 (見 表1),并將部分試樣在700 ℃下進行150h的球化 熱處理,以形成穩定的鐵素體相,然后使用振動探針 式磁強計測量試樣的矯頑力,每個試樣測量5次取 平均值.
2.2 試驗結果與討論
試驗用高碳鋼在不同熱處理條件下的3種典型 顯微組織如圖2所示.圖2a)所示為水淬冷卻獲得的 板條馬氏體,圖2b)所示為經過連續冷卻獲得的層狀 珠光體,圖2c)所示為經過球化處理后獲得的鐵素 體+球狀滲碳體.對試樣的矯頑力進行測量,得到 1,2號試樣的矯頑力分別為2.70,2.70kA??m-1;3, 4號試樣的矯頑力分別為1.79,1.63kA??m-1;5,6號試樣的矯頑力分別為1.45,1.47kA??m-1.可以看 出馬氏體的矯頑力平均值(2.70kA??m-1)遠高于珠 光體的(1.71kA??m-1)和鐵素體的(1.46kA??m-1). 這是因為板條馬氏體的位錯密度非常高,位錯線相 互聚集和糾纏,引起周圍微應力集中,從而固定磁疇 壁,形成較強的釘扎效應[15G16].從這個意義上講, 馬氏體相的高矯頑力源于位錯引起的微應力集中, 當然過飽和間隙碳原子也可能阻礙磁疇壁移動,從 而產生更高的矯頑力.對于珠光體相,LO 等[17]認 為鐵素體基體與滲碳體片層產生的殘余應力使得磁 疇壁更傾向于固定在滲碳體片層,層間距越小,兩相 之間的接觸面越大,阻礙磁疇壁移動的概率越高. 球化處理的試樣顯微組織為鐵素體+球狀滲碳體, 其矯頑力主要源于滲碳體顆粒對磁疇壁的阻礙,相 對于上述兩種釘扎效應,該條件下產生的矯頑力最 小.因此,不同顯微組織的矯頑力大小順序可初步 確定為:Hc馬氏體 >Hc珠光體 >Hc鐵素體 .不同的顯微組 織或相決定了不同的矯頑力水平,這將有助于快速 辨別鋼鐵件熱處理后的顯微組織.
3 力學性能與矯頑力的關系
3.1 試驗方法
試驗材料為某低碳鋼,其主要化學成分[18](質 量分 數 )為 0.168% C,0.025% Si,1.34% Mn, 0.031% Al,0.011% Cr,0.007% S,0.013% P, 0.006% Cu,0.011% Ni,0.005% N,0.028% Ti, 0.048% V.將 試 驗 材 料 加 工 成 標 準 試 樣 后 分 為 3組,每組對應一種特定的熱處理工藝,見表2.采 用通用硬度計測量熱處理后試樣的維氏硬度,載荷 為9.8N(1kgf);利用250kN 萬能拉伸試驗機對試 樣的屈服強度、抗拉強度和斷后伸長率等力學性能 進 行 測 試;便 攜 式 無 損 檢 測 儀 在 磁 化 場 強 度 80kA??m-1和磁化頻率50MHz條件下進行誤差調 節后,對試樣的磁滯參量進行測量,然后分析矯頑力 與力學性能之間的定量關系.
3.2 試驗結果與討論
3組試樣的力學性能試驗結果見表3.采用水 淬、油淬的冷卻方式(第8,9組),試樣顯微組織以板 條馬氏體為主,其強度和硬度均較高,塑性較差.采 用空冷的冷卻方式(第7組),試樣顯微組織以層狀 珠光體為主,其強度和硬度較低,塑性明顯提高.
矯頑力可以用來表征鋼鐵材料的磁硬度,故與 力學性能密切相關[19].在油淬和水淬冷卻條件下, 隨著馬氏體轉變及擴散作用,磁疇壁的釘扎效應導 致矯頑力變大,位錯阻塞也使得材料強度或硬度相 應提高.空冷時,磁性能與力學性能的變化則源于 珠光體帶的破壞和長大過程.珠光體層間距變化或 滲碳體分化也會引起磁性能和力學性能改變[20].
矯頑力與低碳鋼試樣力學性能的關系如圖3所 示,對試驗數據分別進行擬合,可得到矯頑力與力學 性能的經驗關系式,具體如下
由式(5)~(8)可知,不同熱處理條件下,低碳鋼 試樣的力學性能與矯頑力近似成線性關系,這說明 通過監測鋼鐵材料的矯頑力變化即可實現對力學性 能的定量預測.其中矯頑力與抗拉強度和硬度的關 系曲線的擬合度高達 0.9,可優先作為評 估 指 標. 除此之外,MOHAPATRA 等[18]的研究證明矯頑力 與掃頻激勵法對力學性能的評估結果具有很好的一 致性,表明基于矯頑力的無損評估方法可用來預評 估熱處理后鋼鐵件力學性能的變化趨勢.
4 結論
(1)矯頑力對碳鋼顯微組織非常敏感,馬氏體 相由于高密度位錯阻礙磁疇壁移動,其矯頑力最大; 珠光體相鐵素體基體與滲碳體片層引起局部微應力集中,矯頑力次之;鐵素體相中分散的滲碳體顆粒影 響磁疇壁運動,矯頑力最小.
(2)不同熱處理條件下,碳鋼的常用力學性能 指標與矯頑力近似成線性關系,其中抗拉強度和硬 度與矯頑力有很好的關聯性.
(3)基于矯頑力的無損評估技術,既能快速辨 別碳鋼的顯微組織,又能對力學性能實現定量預測, 可用于碳鋼的熱處理質量預評定.
參考文獻:
[1] 路勝卓.磁記憶用于材料熱處理質量評估的方法研 究[D].哈爾濱:哈爾濱工業大學,2007.
[2] KULEEV V G,TSARKOVA T P.Effectofplastic deformationsandheattreatmentonthebehaviorof thecoerciveforceunderload[J].The Physicsof MetalsandMetallography,2007,104(5):461G468.
[3] MIERCZAK L,JILES D C,FANTONI G.A new methodforevaluationofmechanicalstressusingthe reciprocalamplitude of magnetic barkhausen noise [J].IEEE Transactionson Magnetics,2011,47(2): 459G465.
[4] JILES D C.Review of magnetic methods for nondestructive evaluation[J].NDT International, 1988,21(5):311G319.
[5] BATISTAL,RABE U,ALTPETERI,etal.Onthe mechanismofnondestructiveevaluationofcementite contentinsteels using acombination of magnetic Barkhausen noise and magnetic force microscopy techniques[J].Journalof Magnetism and Magnetic Materials,2014,354:248G256.
[6] BYEONJ W,KWUN SI.Magneticnondestructive evaluationofthermallydegraded2.25CrG1Mosteel [J].MaterialsLetters,2004,58(1/2):94G98.
[7] GHANEIS,SAHEB ALAM A,KASHEFIM,etal. Nondestructivecharacterizationofmicrostructureand mechanicalpropertiesofintercriticallyannealeddualG phasesteelby magneticBarkhausennoisetechnique [J].MaterialsScienceandEngineering:A,2014,607 (23):253G260.
[8] GHANEI S, KASHEFI M, MAZINANI M. Comparativestudyofeddycurrentand Barkhausen noise nondestructive testing methods in microstructural examination of ferriteGmartensite dualGphase steel[J].Journal of Magnetism and MagneticMaterials,2014,356:103G110.
[9] TANNERBK,SZPUNARJA,WILLCOCKSN M, etal.Magneticand metallurgicalpropertiesofhighG tensilesteels[J].JournalofMaterialsScience,1988, 23(12):4534G4540.
[10] YOSHINO M,TANABE H,SAKAMOTO T,etal. Nondestructive measurementofgrainsizeinsteel platesbyusingmagneticcoerciveforce[J].Materials ScienceForum,1996,210:45G54.
[11] BIDA G V,NICHIPURUK A P.Coercive force measurementsinnondestructivetesting[J].Russian JournalofNondestructiveTesting,2000,36(10):707G 727.
[12] MáLEKZ.Astudyoftheinfluenceofdislocationson someofthemagneticpropertiesofpermalloyalloys [J].CzechoslovakJournalofPhysics,1959,9(5): 613G626.
[13] 楊理踐,孫宏亮,高松巍,等.基于矯頑力的鋼板應力 檢測技術[J].無損檢測,2018,40(3):5G9.
[14] 孫燕華.Q245R 鋼 磁 特 性 對 應 力 的 映 射 規 律 研 究 [D].濟南:山東大學,2016.
[15] BYEON J W, KWUN S I. Evaluation of microstructuresofvariouslyheattreatedcarbonsteel by magnetic coectivity measurement[J].Physica StatusSolidi(b),2004,241(7):1697G1700.
[16] 計云萍,劉宗昌,任慧平,等.高碳鋼中馬氏體的組織 結構及形成機制[J].機械工程材料,2013,37(3):1G4.
[17] LO C C H,JAKUBOVICS J P,SCRUBY C B. Monitoringthe microstructureofpearliticsteelsby magnetoacousticemission[J].Journalof Applied Physics,1997,81(8):4069G4071.
[18] MOHAPATRAJN,MOHANTYS,DABBIRUSK, et al. Correlation of magnetic properties with mechanicalpropertiesofahightensilegradesteelin variousheattreatedconditions[J].Transactionsof theIndianInstituteof Metals,2018,71(10):2361G 2374.
[19] SANDOMIRSKIIS G.Estimation oftheultimate tensile strength of steel from its HB and HV hardnessnumbersand coerciveforce[J].Russian Metallurgy(Metally),2017,11:989G993.
[20] MOHAPATRA J N, KAMADA Y. Magnetic hysteresisloop as a tool for the evaluation of spheroidizationofcementitesinpearliticsteels[J]. Journalof MaterialsEngineeringand Performance, 2015,24(4):1551G1557.





浙公網安備 33042402000106號 a>

