分享:軋制壓下量對Fe-8Al合金板材耐蝕性的影響
軋制壓下量對犉犲8犃犾合金板材耐蝕性的影響
郭 煒,史 茜,鐘慶東,趙啟亮,張俊良
(上海大學 材料科學與工程學院 省部共建高品質特殊鋼冶金與制備國家重點實驗室,上海200072)
摘 要:采用真空電磁感應熔煉制備了Fe8Al合金,采用80%、70%、63%和50%軋制壓下量制成合金板材,最后對4種Fe8Al合金板材進行900℃退火保溫10min后水冷的熱處理。采用掃描電子顯微鏡(SEM),拉伸試驗和電化學試驗對4種Fe8Al合金板材的性能進行分析。結果表明:隨著軋制壓下量的增大,Fe8Al合金板的晶粒尺寸逐漸減小;軋制壓下量為80%時Fe8Al合金板材的綜合力學性能最好;軋制壓下量為63%時Fe8Al合金在5%(質量分數)Na2SO4 溶液中的耐蝕性最好。80%為Fe8Al合金軋制工藝制度的最佳軋制壓下量。
關鍵詞:Fe8Al合金;軋制工藝;顯微組織;力學性能;電化學性能
中圖分類號:TG174 文獻標志碼:A 文章編號:1005748X(2017)05037205
Effect of Rolling Reduction on the Corrosion Resistance of Fe-8AI Alloy Sheets
GUO Wei,SHIXi,ZHONGQingdong,ZHAOQiliang,ZHANGJunliang
(StateKeyLaboratoryofAdvancedSpecialSteels,SchoolofMaterialsScienceandEngineering,ShanghaiUniversity,
Shanghai200072,China)
Abstract:Fe8Alalloywaspreparedbyvacuuminductionmelting.Thealloysheetswerepreparedby70%,63%,
50%and80%rollingreduction,respectively,thentheFe8Alalloyweretreatedat900℃for10minutesandwater
cooled.SEM,tensiletestandelectrochemicaltestwereusedtoinvestigatethepropertiesof4Fe8Alalloysheets.
Theresultsshowedthatwiththeincreaseofrollingreduction,thematerialgrainsizedecreased.FeAlalloysample
witharollingreductionof80%hadthebestcomprehensivemechanicalproperties.FeAlalloysamplewitharolling
reductionof63%hadthebestcorrosionresistancein5% (mass)Na2SO4solution.ThebestrollingreductionforFe
8Alalloywas80%.
Keywords:Fe8Alalloy;rollingprocess;microstructure;mechanicalproperty;electrochemicalperformance
0 引 言
近年來,輕量化、低排放、低成本與節能等是汽車制造工藝的重點研究方向。輕量化是提高汽車燃油經濟性的有效手段,鋁合金的密度較小,可以滿足汽車輕量化的要求,因此鐵鋁合金作為新一代的汽車用鋼替代材料具有廣泛的應用前景。當鋁的原子分數小于10%時,具有無間隙結構,使其具有類似于無間隙原子鋼(IF鋼)的優良深沖性能[12]。常用的鐵鋁合金有冷軋或熱軋帶材,其主要特點是電阻率高、硬度高,密度小(6.5~7.2g/cm3),抗振動和抗沖擊性能良好。同時,由于原材料價格低廉,所以鐵鋁合金作為汽車用鋼具有廣闊的應用前景。
軋制是鋼材最常用的生產方式,軋件由摩擦力拉進旋轉軋輥之間,受到壓縮進行塑性變形,通過軋制可使金屬獲得一定形狀、尺寸和性能。在軋制過程中,影響材料塑性的因素很多,如軋制壓下量、軋制壓力、軋制溫度、軋輥輥型等。對于冷軋試驗鋼,軋制壓下量是一個重要的影響因素。Fe8Al合金為FeAl鐵素體鋼,具有較好的塑性[36]。本工作研究了鍛造加熱軋開坯之后,Fe8Al合金在900℃下退火并保溫10min后淬火工藝條件下,不同軋制壓下量對Fe8Al合金顯微組織、力學性能和電化學性能的影響。
1 試驗
1.1 試樣
將工業用99.9999%(質量分數,下同)純鐵和99.9999%純鋁按照設定的體系配比,采用真空電磁感應熔煉制備Fe8Al合金。熔煉過程中用C元素控制真空電磁感應爐中 O元素含量,添加一定量的Ti元素進行精煉,Ti元素可以固定 C、N 等元素,形成碳化物、氮化物,以形成FeAl無間隙原子結構[79]。精煉一定時間之后,將熔化得到的液體進行澆注,冷卻后得到Fe8Al合金鑄錠,其化學成分為:狑Al7.81%,狑C 0.0072%,狑Mn 0.012%,狑P0.006,狑S0.0005,狑N0.002,余量為Fe。鑄錠冷卻后去除表面氧化皮,經過熱軋三道次得到厚度為4.2mm的板材,終軋溫度為900℃,空冷至85℃時進行酸洗,然后室溫冷軋至0.87mm、1.3mm、1.6mm、2.1mm等4個目標厚度,即4種板材的軋制壓下量分別為80%(A)、70%(B)、63%(C)和50%(D)。采用馬弗爐對4種板材進行熱處理,工藝為900℃下退火10min后,水冷后備用。
1.2 試驗方法
1.2.1形貌表征
沿軋制方向切取試樣,尺寸為1cm×1cm,將試樣用水磨砂紙(240~2000號)逐級打磨至鏡面光亮,吹干后用8%(體積分數,下同)硝酸酒精和過量的苦味酸浸蝕。用LEICA MICROSYSTENSDM6000M 金相顯微鏡(OM)觀察4種試樣的金相組織和形貌。采用 HITACHISU1500掃描電鏡(SEM)、色散能譜(EDS)等方法研究其凝固組織的斷口微觀形貌、合金的化學成分分布和偏析情況。
1.2.2力學試驗
按照國家標準 GB/T228.1-2010《金屬材料拉伸試驗第1部分:室溫試驗方法》切取拉伸非標準試樣(試樣總長32mm,柄部寬4.2mm,平行段長度為22 mm),每種板材制備 3 個平行試樣。用1000號砂紙打磨,去除拉伸試樣平行段表面及側面氧化層。常溫狀態下,在空氣中利用Instron5848型微型拉 伸 儀 進 行 拉 伸 試 驗,初 始 應 變 速 率 為 2×10-3s-1,測量拉伸試樣的流變應力和試樣拉斷時的延伸率。
1.2.3電化學試驗
電化學試驗用試樣的尺寸為1cm×1cm,試樣工作面用水磨砂紙(240~2000號)逐級打磨至鏡面光亮,非工作面用環氧樹脂封裝后制成工作電極,將工作電極置于丙酮中超聲清洗去除表面殘余物,再用酒精和去離子水先后清洗后待用。電化學試驗在CHI660C電化學工作站完成,采用三電極體系,輔助電 極 為 鉑 電 極,參 比 電 極 為 飽 和 甘 汞 電 極(SCE),工作電極為試樣。考察4種Fe8Al合金試樣在5%(質量分數,下同)Na2SO4 溶液中的電化學阻抗譜,頻率為10-2~105 Hz,利用ZSimpWin軟件對阻抗譜進行等效電路擬合分析。
2 結果與討論
2.1 顯微組織
由圖1可見,軋制壓下量越大,合金再結晶的晶粒越小。這是因為壓下量越大,材料受到的軋制力越大,組織形變越大,組織越均勻。
圖1 采用不同軋制壓下量制備的Fe8Al合金的微觀形貌
Fig.1 MicromorphologyofFe8Alalloyprepared
bydifferentrollingreductions
金屬的變形程度是表征材料變形前與變形后形狀變化大小的參數,即材料變形量的大小,是決定再結晶溫度的重要因素之一。金屬的變形量越大,金屬中的存儲能越多,再結晶的溫度越低,但當變形程度增加到一定數值后,再結晶的溫度趨于穩定值。
另外形變金屬的晶粒越細小,單位體積內晶界總面積越大,位錯在晶界附近塞積,導致晶格強烈扭曲的區域也越大,可以提供再結晶形核的場所越多,其再結晶溫度也越低。
由圖1可知,Fe8Al合金試樣的軋制壓下量為63%及50%時,試樣未發生完全再結晶仍存在帶狀的纖維組織,說明其再結晶溫度高于900℃。且軋制壓下量為63%的試樣的帶狀組織明顯寬于軋制壓下量為50%的試樣的。Fe8Al合金試樣的形變越大,得到的晶粒越細小。在熱處理過程中,軋制壓下量越小,再結晶溫度越高,在退火溫度為900℃時,軋制壓下量為63%及50%的 Fe8Al合金試樣的變形量相對較小,未發生完全再結晶,仍存在帶狀的纖維組織。
2.2 力學性能
由表1和圖2可知,軋制壓下量為80%的Fe8Al合金試樣具有最好的力學性能,這是因為在900℃,軋制壓下量為80%時Fe8Al合金試樣發生完全再結晶。由 HALLPETCH 關系式可知:晶粒越細小,材料的屈服強度越大[1011]。而軋制壓下量為70%、63%、50%時Fe8Al合金試樣的斷后伸長率相近,這是因為在900℃退火并保溫10min熱處理得到的材料未發生完全再結晶。材料中存在大量的未完全再結晶的帶狀纖維組織,纖維組織的存在大大降低了材料的塑性。由于存在寬大的帶狀纖維組織,軋制壓下量為63%時 Fe8A
l合金試樣的斷
后伸長率低于軋制壓下量為50%Fe8Al的合金試樣的。孫揚善等[9]研究軋制工藝對Fe3Al金屬間化合物塑性的影響時指出,冷變形形成的條帶狀纖維組織越寬,材料的塑性越低,這與本試驗得到的結果一致。
晶粒細化提高了材料的塑性,材料的斷裂強度見式(1)。
式中:犪為斷裂面間距的原子間距;γ為單位面積表面能;犈為彈性模量。
在多晶體的同一體積內,晶粒越細小,晶粒數越多。在斷裂過程中,晶粒由于外加切應力的作用,其位錯源開動,產生大量位錯。當這些位錯滑移到晶界附近時塞積,引起應力集中,使得其周圍晶粒的距
離為犪的位錯源也開動。由彈性理論得出,在與長度為犮的裂紋相距犪 處的應力集中為(犮/犪)1/2。此裂紋長度正比于塞積位錯的數量,因而也就正比于晶粒的直徑犪(-1/2)。因此,晶粒越細,斷裂前的塑性越高,材料的塑性越好。由 HALLPETCH 關系式可知,金屬的屈服強度與晶粒大小有如下關系:σs =σ0 +犓狔犱(-1/2) (2)式中:σ0 表示晶內變形阻力,相當于單晶體的屈服強度;犓y 表示晶界性質;犱表示晶粒直徑的大小。式(2)表明,材料的屈服強度與晶粒直徑的平方根倒數成正比。在常規晶粒范圍內,晶粒越細,屈服強度越高,多晶體的強度隨著晶粒的細化而提高,這就是細晶強化的原理。綜上所述,細化晶粒能同時提高材料的強度和塑性。
由圖3可見,軋制壓下量為80%時,Fe8Al合金試樣(A試樣)的斷口存在纖維區,斷口下端有傾斜角(接近45°)且存在大量韌窩;而上端小部分類似平齊的斷口,也有少量的韌窩存在,且 A 試樣的斷后伸長率達34%,因此可以判斷 A試樣的斷裂形式為韌性斷裂。材料按照裂紋擴展路徑分類,可分為穿晶斷裂和沿晶斷裂。穿晶斷裂可能是韌性斷裂也可能是脆性斷裂。而沿晶斷裂則多是脆性斷裂,少數為韌性斷裂[12]。由圖3還可見,軋制壓下量為70%、63%、50%時,Fe8Al合金試樣以沿晶斷裂為主,伴隨少量等軸韌窩的沿晶韌性斷裂形貌。
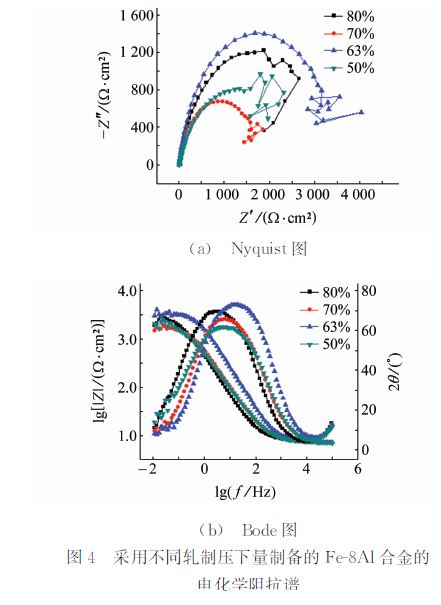
2.3 電化學性能
由圖4可見,4種試樣的電化學阻抗譜均呈現出一段畸變的圓弧,但其阻抗值有較大差異且表現出明顯的規律,這與它們表面電荷的傳遞過程有關。
由圖4(a)可見,當軋制壓下量由80%遞減至63%時,Fe8Al合金試樣的圓弧半徑逐漸增大,總阻抗逐漸增大,且在軋制壓下量為63%的 Fe8Al合金試樣的阻抗值最大,說明在該壓下量下Fe8Al合金試樣的耐蝕性最好。
由圖4(b)可見,4種Fe8Al合金試樣均有兩個時間常數,利用ZSimpWin軟件對樣品的電化學阻抗譜進行等效電路分析,其等效電路如圖5所示,相關電化學參數擬合結果見表2。其中犚ct是能直接反應金屬腐蝕速率的參數,犚ct越大說明試樣的腐蝕速率越低。
由表2可見,隨著Fe8Al合金試樣的軋制壓下量由80%減小到63%,犚ct逐漸增大,犆dl逐漸減小。
結合圖1可以發現,經過加熱900 ℃保溫10min處理后,軋制壓下量越小,得到的Fe8Al合金試樣存
在未完全再結晶的帶狀纖維組織越多,而纖維組織的存在使得材料表面產生的鈍化膜更加致密,耐蝕性由此得到一定提高[13]。此外,隨著軋制壓下量的減小,Fe8Al合金試樣的氣孔、裂縫逐漸減少,晶界、活化點數和內部的儲存能降低,試樣的電化學活性降低,使Fe8Al合金試樣在5% Na2SO4 溶液中耐蝕性提高,這與KOWALSKI等[14]的研究結果相似。隨著軋制壓下量由63%繼續減小到50%,其犚ct反而有所降低,這是由于當壓下量為50%時,帶狀組織和細化的晶粒不規則分布,均勻性降低,從而導致Fe8Al合金試樣的耐蝕性降低。
綜合分析各軋制壓下量Fe8Al合金試樣的力學性能和耐蝕性可知:軋制壓下量對材料的力學性能有較大影響,對材料耐蝕性的影響相對較小。其中,80%軋制壓下量下制得的Fe8Al試樣合金的力學性能最好,斷后伸長率最大(34%)。而采用63%軋制壓下量制得的Fe8Al合金試樣的耐蝕性最好,電化學阻抗最大(3485Ω·cm2),而其斷后伸長率僅為17%,遠低于采用80%軋制壓下量制得的Fe8Al合金試樣的。綜合考慮,選擇80%為Fe8Al合金軋制工藝制度的最佳軋制壓下量。
3 結論
(1)Fe8Al合金在900 ℃保溫10min后水冷的熱處理工藝下,軋制壓下量越大,其晶粒越細小,組織越均勻。
(2)采用80%軋制壓下量制得Fe8Al合金具有最好的力學性能,斷后伸長率、屈服強度及抗拉強度分別為34%、415MPa、513MPa。
(3)當軋制壓下量為63%~80%時,隨著軋制壓下量的減小,Fe8Al合金在5% Na2SO4 溶液中的耐蝕性逐漸提高;但當壓下量減小到50%時,Fe8Al合金的耐蝕性降低。
(4)軋制壓下量為80%時,制得Fe8Al合金試樣的力學性能最佳,且其耐蝕性優異,故Fe8Al合金軋制工藝制度的最佳軋制壓下量為80%。
(文章來源:材料與測試網-腐蝕與防護)





浙公網安備 33042402000106號 a>

